DFD merupakan alat perancangan sistem yang berorientasi pada alur data dgn konsep dekomposisi dapat digunakan untuk penggambaran analisa maupun rancangan sistem yg mudah dikomunikasikan oleh profesional sistem kepada pemakai maupun pembuat program.
KOMPONEN DFD
1. Menurut Yourdan dan DeMarco
Terminator Proses Data Store Alur Data
2. Menurut Gene dan Serson
Terminator Proses Data Store Alur Data
TERMINATOR / ENTITAS LUAR
Adalah Entitas diluar sistem yang berkomunikasi / berhubungan langsung dengan sistem.
Terdapat 2 jenis Terminator :
- Terminator Sumber Merupakan Terminator yang menjadi sumber
- Terminator Tujuan Merupakan Terminator yang menjadi tujuan data / informasi sistem.
Terminator dapat berupa orang, sekelompok orang, organisasi, perusahaan/departemen yang berada diluar sistem yang akan dibuat, diberi Data Flow Diagram nama yang berhubungan dengan sistem tsb dan biasanya menggunakan kata benda.
Contoh : Dosen, Mahasiswa.
Hal yang perlu diperhatikan tentang terminator :
1. Alur data yang menghubungkan terminator dgn sistem, menunjukkan
hubungan sistem dgn dunia luar.
2. Profesional sistem tidak dapat mengubah isi/cara kerja, prosedur yang
berkaitan dgn Terminator.
3. Hubungan yang ada antar terminator tidak digambarkan dalam DFD.
KOMPONEN PROSES
Komponen proses menggambarkan transformasi input menjadi output. Penamaan proses disesuaikan dgn proses/kegiatan yang sedang dilakukan. Ada 4 kemungkinan yang dapat terjadi dalam proses sehubungan dgn
input dan output :
Ada beberapa hal yang perlu diperhatikan tentang proses :
1. Proses harus memiliki input dan output.
2. proses dapat dihubungkan dgn komponen terminator, data store atau
proses melalui alur data.
3. Sistem/bagian/divisi/departemen yang sedang dianalisis oleh profesional
sistem digambarkan dgn komponen proses.
KOMPONEN DATA STORE
Komponen ini digunakan untuk membuat model sekumpulan paket data dan diberi nama dgn kata benda bersifat jamak. Data store dapat berupa file/database yang tersimpan dalam disket, harddisk atau bersifat manual seperti buku alamat, file folder.
Yang perlu diperhatikan tentang data store :
1. Alur data dari proses menuju data store, hal ini berarti data store berfungsi
sebagai tujuan/tempat penyimpanan fari suatu proses (proses write).
2. Alur data dari data store ke proses, hal ini berarti data store berfungsi sbg
sumber/ proses memerlukan data (proses read).
3. Alur data dari proses menuju data store dan sebaliknya berarti berfungsi
sbg sumber dan tujuan.
Lihat gambar berikut :
KOMPONEN ALUR DATA
Alur data digunakan untuk menerangkan perpindahan data / paket datadari satu bagian ke bagian lainnya.
Alur data dapat berupa kata, pesan, formulir / informasi.
Ada 4 konsep tentang alur data :
1. Packets of data
Apabila ada 2 data / lebih yg mengalir dari 1 sumber yg sama menuju
pada tujuan yg sama & mempunyai hubungan digambarkan dgn 1 alur
data.
2. Diverging data flow
Apabila ada sejumlah paket data yg berasal dari sumber yg sama menuju pada tujuan yg berbeda atau paket data yg kompleks dibagi menjadi bbrp elemen data yg dikirim ke tujuan yg berbeda.
3. Converging data flow
Apabila ada bbrp alur data yg berbeda sumber menuju ke tujuan yg sama.
4. Sumber dan Tujuan
Arus data harus dihubungkan pada proses, baik dari maupun yg menuju proses.
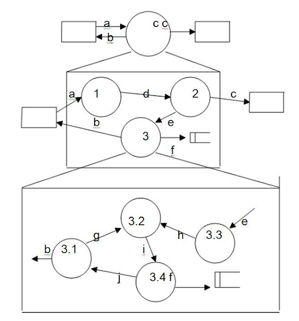
LEVELISASI DFD
Data Flow Diagram
PENGGAMBARAN DFD
Tidak ada aturan baku untuk menggambarkan DFD, tapi dari berbagai referensi yg ada, secara garis besar:
1. Buat diagram context
Diagram ini adalah diagram level tertinggi dari DFD yg menggambarkan hubungan sistem dgn lingkungan luarnya.
Cara :
- Tentukan nama sistemnya.
- Tentukan batasan sistemnya.
- Tentukan terminator apa saja yg ada dalam sistem.
- Tentukan apa yg diterima/diberikan terminator dari/pada sistem.
- Gambarkan diagram context.
2. Buat diagram level Zero
Diagram ini adalah dekomposisi dari diagram Context.
Cara :
- Tentukan proses utama yg ada pada sistem.
- Tentukan apa yg diberikan/diterima masing-masing proses pada/dari
sistem sambil memperhatikan konsep keseimbangan (alur data yg keluar/masuk dari suatu level harus sama dgn alur data yg masuk/keluar pada level berikutnya)
- Apabila diperlukan, munculkan data store (master) sebagai sumber maupun tujuan alur data.
- Gambarkan diagram level zero.
- Hindari perpotongan arus data
- Beri nomor pada proses utama (nomor tidak menunjukkan urutan proses).
3. Buat diagram level Satu
Diagram ini merupakan dekomposisi dari diagram level zero.
Cara :
- Tentukan proses yg lebih kecil (sub-proses) dari proses utama yg ada di level zero.
- Tentukan apa yg diberikan/diterima masing-masing sub-proses pada/dari sistem dan perhatikan konsep keseimbangan.
- Apabila diperlukan, munculkan data store (transaksi) sbg sumber
- Gambarkan DFD level Satu
- Hindari perpotongan arus data.
- Beri nomor pada masing-masing sub-proses yg menunjukkan dekomposisi dari proses sebelumnya. Contoh : 1.1, 1.2, 2.1
Diagram ini merupakan dekomposisi dari level sebelumnya. Proses dekomposisi dilakukan sampai dg proses siap dituangkan ke dalam program. Aturan yg digunakan sama dgn level satu.


